![포레나 제주에듀시티’ 투시도.[출처=한화 건설부문]](https://cdn.ebn.co.kr/news/photo/202502/1650428_662837_121.jpg)
제주 국제학교 인근 단지로 한 때 예비 청약자들의 관심을 끌던 '한화포레나 제주에듀시티'의 입주가 무기한 연기됐다. 위탁 시행사 하이펙스와 시공사 한화 건설부문 간 갈등의 골이 깊어진 게 화근이 됐다.
4일 EBN이 취재한 내용을 종합하면, 한화 건설부문이 제주 서귀포시 대정읍 일원에 공급하는 '한화포레나 제주에듀시티'의 입주 일정이 기약없이 미뤄졌다.
하이펙스와 한화 건설부문 간의 마찰이 도화선이 됐다. 이에 따라 현재 포레나 에듀시티에 대한 위탁 시행사의 소송은 36건이 진행되고 있으며, '불공정 계약으로 인한 무리한 설계변경 및 시공변경의 건' 등이 이번 소송에 포함된 것으로 알려졌다.
그런데 문제는 이 사태에 대한 피해가 수분양자에게로 돌아가고 있다는 것이다. 애초 이 단지는 올 1월 2일 준공돼 입주절차를 밟았어야하지만, 양사의 갈등으로 입주예정일이 무기한 연기된 상태다.
한 수분양자는 "시행사의 소통단절로 인해 정상적인 입주가 불투명한 상황"이라며 "이를 해결고자 계약금 10%와 발코니확장 및 선택품목을 완납한 분양자들이 모여 해결책과 정보를 활발히 공유하고 있다. 많은 분들이 힘을 합쳐야 현 상황을 헤쳐 나갈 수 있다"고 밝혔다.
한화 건설부문은 이번 사태를 조속히 해결하기 위해 만전을 기하고 있다는 입장이다.
한화 건설부문 관계자는 "당사는 시공사로서, 당사 공사분은 공사를 완료한 상황이지만, (시행사와의 갈등으로) 준공신청·승인이 되지 않았다"며 "시행사와의 원만한 해결을 위해 소통하고 있고, 수분양자들에게 피해가 발생하지 않도록 앞으로도 노력할 것"이라고 했다.
소송과 관련해선 "답변이 (소송에) 영향을 미칠 수 있으므로 입장을 밝히긴 어렵다"면서 직접적인 언급을 피했다.
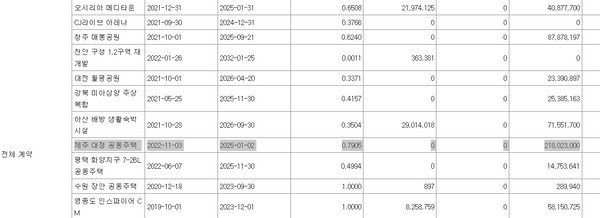
![2024년 3분기 공사미수금액 캡처,(단위:천원).[출처=금융감독원 전자공시시스템]](https://cdn.ebn.co.kr/news/photo/202502/1650428_662836_054.jpg)
만일 이 사태가 장기화된다면, 한화 건설부문은 상당한 부담을 느낄 것으로 보인다. 해당 사업장에서 발생한 공사미수금이 전체 공사미수금의 17.5% 비중을 차지하고 있어서다.
금융감독원 전자공시시스템 자료를 보면 작년 3분기 기준 '한화포레나 에듀시티(제주 대정 공동주택)'에서 발생한 공사미수금은 2180억원이다. 이는 한화 건설부문 전체 공사미수금 1조2465억원 중 17.5%에 해당한다. 공시에 명시돼 있는 48개 현장 중에 두 번째로 많다.
그러나 한화 건설부문 측은 문제가 없다는 입장이다. 해당 프로젝트가 대형 사업장이 아닌 만큼 일시적인 미수금은 당사 규모 대비 큰 영향을 주지 않는다고 판단해서다.
한화 건설부문 관계자는 "시행사와의 문제가 해결되면 분양률 제고를 진행할 것"이라며 "작년 연말 기준 당사 가용자금은 약 9000억원(미인출 한도대를 포함) 수준이어서 현금 유동성은 풍부하다"라면서 확대 해석을 일축했다.
한편, 한화포레나 제주에듀시티는 지하 1층~지상 5층, 29개 동, 전용면적 84~210㎡, 총 503세대 규모로 조성된다. 제주 내 신흥부촌으로 떠오른 제주영어교육도시와 차량 5분 거리에 위치해 있어, 당시 예비 청약자들의 관심을 한 몸에 받았다.
- [Constr. & Now] 현대건설, 지속 성장 위한 미래 핵심기술 확보 가속화 등
- 2월 전국 분양 물량 1.2만 가구…전년 동기 比 51% '뚝↓'
- 인천 송도 노른자 'G5' 블록, 공동주택 건립 사업 본격화
- 혹독한 신고식 치른 ‘2개월차’ 현대건설 이한우號
- 플랜트·건축 실적 저하에…포스코이앤씨, 작년 영업익 세자릿수 '털썩'
- 휘청이는 포스코이앤씨 플랜트사업, 6년만에 영업적자 냈다
- 호반문화재단, 전국청년작가 미술공모전 ‘2025 H-EAA’ 개최
- ‘포스코이앤씨 구원투수’ 정희민 대표 앞에 놓인 ‘실적 개선’ 과제
- 부영, 올해도 자녀 1명당 1억씩 28억원 지급…"출산 증가"